Forums Teckels Sans Doux Foyer
LOULOU * - Version imprimable

+- Forums Teckels Sans Doux Foyer (https://forum.teckelsansdouxfoyer.com)
+-- Forum : NOS SANS DOUX FOYER (https://forum.teckelsansdouxfoyer.com/forumdisplay.php?fid=6)
+--- Forum : Soins prodigués à nos grands malades, nos retraités et actions spécifiques (https://forum.teckelsansdouxfoyer.com/forumdisplay.php?fid=9)
+--- Sujet : LOULOU * (/showthread.php?tid=4190)

Pages : 1 2 3 4 5 6 7 8 9 10 11 12 13 14 15 16 17 18 19 20 21 22 23 24 25 26 27 28 29 30 31 32 33


Re: LOULOU * - frantz - 06-06-2021

LOULOU, le 11 mai 2021, a eu ses rappels de vaccins et une nouvelle prise de sang.

Voici la facture correspondante :


[Image: LOULOU20210606-16493129.jpg]


Re: LOULOU * - joelle - 07-01-2021

Des nouvelles de Loulou ?


Re: LOULOU * - margotine - 07-09-2021

Loulou etait en forme des le matin à la pension. Il avait un super sourire carnassier .
Donc muselière au toilettage.
[Image: 20210709-112334.jpg]
Pourquoi mais pourquoi on me met une muselière moi qui suis adorable. Je niaque un peu...mais bon
[Image: 20210709-112943.jpg]
[Image: 20210709-113337.jpg]


Re: LOULOU * - margotine - 07-09-2021

Voici une photo où on voit un i.dice du Cushing. Une d'épilation sur le côté c zst ce qui nous a alerté
[Image: 20210709-113605.jpg]


Re: LOULOU * - AdminPhil - 07-09-2021

POV LOULOU........


Re: LOULOU * - margotine - 07-11-2021

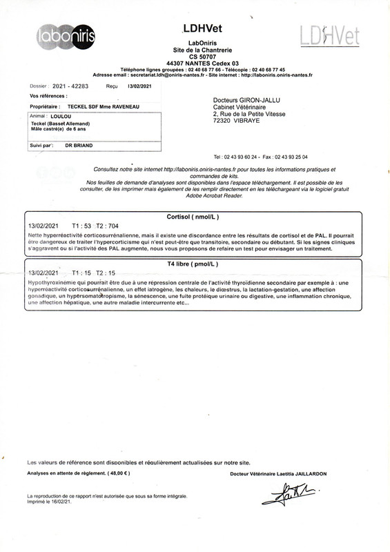
Voici les résultats des examens de Loulou faits en février 2021

on devra refaire des dosages en septembre
[Image: loulou20210711-19245057.jpg]


Re: LOULOU * - Ludie - 07-14-2021

Beau petit Loulou [Image: coeur%20joyeux.gif]
Pour le Cushing, c’est sûr maintenant ou il y a encore des doutes?
Caresses au plus beau des Loulou [Image: des%20bisous.gif] [Image: des%20bisous.gif] [Image: des%20bisous.gif]


Re: LOULOU * - margotine - 07-14-2021

J ai mis les résultats d analyses oui c est sur malheureusement et non soignable


Re: LOULOU * - Ludie - 07-14-2021

[Image: chien-2010-32.gif] ah ok, merci pour votre réponse.
Oui, j’avais lu les résultats d’analyses mais ce n’était pas clair, pour moi en tout cas
À un moment, il y avait eu un doute, malheureusement il n’y en a plus [Image: chien-2010-32.gif]
Petit Loulou [Image: calin-1844.gif] [Image: des%20bisous.gif] [Image: chien-2010-34.gif]


Re: LOULOU * - joelle - 07-14-2021

Loulou. Avec ta muselière . Tu fais un remake du silence des agneaux. Calinous petit pere